Antena Magnética
La descripción….
La antena de Magnética fue empleada ampliamente en sistemas militares, aunque se la conocia mas por el nombre de cuadro o loop. Generalmente esta formada por una espira conductora, aunque podrian ser más, formando una circunferencia, cuadrado, hexágono u octógono, cuyas dimensiones físicas pueden variar desde 30 o 40 cm de diámetro, hasta varios metros, según la frecuencia y el rendimiento esperado. La inductancia de la espira habitualmente está sintonizada por un condensador variable. La antena se acopla a la línea de transmisión por medio de un eslabón o un acoplamiento capacitivo tal como se muestra en la figura 1.

El eslabón de acoplamiento tiene un diámetro que será aproximadamente 1/5 a 1/6 del diámetro del loop para una correcta adaptación a una línea de 50 Ohms.
Al emplear antenas magnéticas en transmisión, aparecen en ellas tensiones muy peligrosa. Instálela lejos de los niños y usela con extremo cuidado, especialmente en los ajustes y evite hacerlo mientras esta excitada.
Sus principales ventajas son:
Por todo lo anterior, resulta una antena ideal cuando hay restricciones de espacio o para operar en las salidas al campo o camping especialmente en las frecuencias más bajas de HF.
Sus principales desventajas son:
Al ser una antena de polarización vertical, la reflexión en tierra esta en fase con la producida por la antena de forma que ambos campos se suman. Precisamente por esto la podemos instalar tan baja como queramos sin que se registren perdidas considerables. En las antenas dipolo (en polarización horizontal) al estar en contrafase ambos campos se anulan, por eso requieren ser colocadas relativamente altas respecto al suelo.
Teniendo en cuenta que el rendimiento de una antena viene determinado por la resistencia de radiación respecto a la resistencia de perdidas (conductores, dieléctricos, tierra, etc.) y que en la antena magnética dependen de la resistividad de su conductor y de su condensador de sintonía, es relativamente fácil conseguir en la banda de 40m. que con una antena de solo 3 m. de diámetro se obtenga un rendimiento similar al de un dipolo y que además puede instalarse a baja altura.
Para conseguir minimizar las perdidas resistivas es necesario emplear un material que sea muy buen conductor, como el cobre, El aluminio ya se considera una solución de compromiso. El conductor deberá tener un diámetro mínimo de 25 o 30 mm. Las uniones, si las hay, tienen que ser eléctricamente perfectas, preferentemente soldadas (con plata, a ser posible) y las conexiones al condensador variable mediante cinta o tubo aplastado.
Si la antena ha de emplearse solo en recepción, su realización no será tan exigente y podra emplearse un condensador normal de bajo aislamiento, ya que una pérdida de 10 o 15 dB no será tan importante.
La antena magnética o de cuadro forma un circuito resonante serie y como las perdidas resistivas tienen que reducirse al máximo para obtener un buen rendimiento, el "Q" resultante es extraordinariamente alto por lo que el ancho de banda es muy estrecho. Esto obliga a resintonizar el condensador al variar ligeramente la frecuencia. Debido a tan alto "Q" con tan solo 100 Watios, aparecen en bornes del condensador, tensiones del miles de voltios.
La teoria...
La resistencia de radiación del cuadro de la antena magnética puede calcularse con la ecuación (ec1):

Si tomamos como ejemplo 1 espira de 1 m de diámetro para una frecuencia de 7 MHz, el resultado de la ecuación nos da:
RR = 0,0057 Ohm
Es decir que obtenemos un valor bajísimo de resistencia de radiación. Así que para que el el rendimiento de esta antena sea bueno, su resistencia de pérdidas ha de ser necesariamente muy baja.
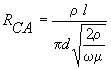
Para conocer las pérdidas resistivas del cuadro hay que considerar el efecto pelicular pues la resistencia en RF del conductor es bastante mayor que la resistencia en corriente contínua. La podemos conocer mediante la ecuación (ec2):

donde:
Consideraremos la resistencia en corriente alterna de nuestro loop la resistencia de pérdidas principal. La resistencia de pérdidas por proximidad a tierra es de poca importancia y la del condensador de sintonía, si es de buena calidad, también. La eficiencia de la antena se calcula del modo tradicional con la siguiente ecuación (ec3):
RR x 100
Ef = -----------
RR + RP
Donde:
Los resultados...
Probemos qué sucede con un cuadro circular de 2 m de diámetro y 20 mm de sección de conductor para la banda de 40 m.
No esta mal para una antenita de solo DOS METROS DE DIAMETRO...! solo una atenuación de unos 3 dB respecto una antena de máximo rendimiento.
Realizemos ahora los cálculos para la banda de 80 m en la misma antena y obtendremos:
Esto ya no es tan bueno pues es una atenuación próxima a los 10 dB por debajo de una antena eficiente. Es como si operáramos nuestro trasmisor de 100 W sacandole solo 10 W, aun así se pueden hacer muchos contactos.
Probemos ahora de aumentar el rendimiento en 80 m. aumentando el diámetro del loop a 3m y el del tubo 38,1 mm (1 1/4").
Parece que hemos logrado casi alcanzar en 80 la eficiencia de la anterior en 40, no esta mal.
Veamos ahora ¿Como rendirá este loop en 40 m?
Este es un resultado excelente. En ningún caso hemos considerado las pérdidas adicionales por proximidad a tierra, pero ya sabemos que para esta antena son pequeñas y no son significativas.
Más teoría...
Para que pueda sintonizarse mediante un condensador, evidentemente el cuadro deberá ser inductivo a la frecuencia de trabajo, esto limita su tamaño, pero justamente esta es una ventaja que deseamos aprovechar.
Como regla práctica se calcula de manera que su perímetro no exceda 1/4 de onda a la frecuencia de trabajo más alta y de allí se obtiene, su diámetro (o diagonal).
Así para operar en 40 m. el diámetro seá:
1/4 de onda = 10 m
Diámetro = 10 m / p = 3,18 m
Con diámetros muy grandes, en general la inductancia del cuadro será tal, que no será posible sintonizarlo mediante un condensador variable debido a la capacidad distribuida. Para saber la inductancia aproximada de un lop circular se puede usar la siguiente formula:
L[mHy] = 0,2 * P * [ln (4000 * P/d) - 2,451]
Donde P = Perímetro de la espira medido a través del centro del conductor en m; d = diámetro del conductor en mm.
En los ejemplos anteriores: La de 2 m y 20 mm será 5,9 mHy, y en la de 3 m y 38,1 mm sera de 8,4 mHy.
Para hallar la capacidad distribuida usaremos:
C [pF] = 2,7 x P
En los ejemplos anteriores: La de 2 m de diámetro del cuadro y 20 mm de diámetro del tubo será 16,96 pF y la de 3 m y 38,1 mm será de 25,44 pF
El "Q" de la antena magnética (cuadro)
Conocer el "Q" de la antena es imprescindible para conocer el ancho de banda en el que es capaz de trabajar la antena y se calcula con la formula tradicional:
Q = XL/R, siendo XL = 2 p f L, la formula se convierte en:
Q = 2 p f L / Rt, donde Rt es la resistencia total, es decir la de radiación más la de pérdidas.
De este modo el "Q" de la antena de 2 m. de diámetro trabajando en 40m será:
Q = (2 p f L) / Rt con f en MHz, L en mHy
y R en W
Q = (2 x 3,14 x 7 MHz x 8,381 mHy) / (0,0910W+ 0,0692W)
Q = 2.300
El ancho de banda también se calcula por el modo tradicional recordando que:
Q = f/Df, asi que = Df = f/Q
Df = f/Q = 7 x 106 Hz /
2.300 = 3.043 Hz
Df = 3.043 Hz, o lo es lo mismo
3 Khz
Este pequeño ancho de banda, que apenas supera los 3 KHz entre los puntos de -3 dB nos indica la necesidad de una resintonía imprescindible al desplazarnos de frecuencia.
Esta pega, también puede ser una gran ventaja, ya que atenuara todo lo que no este en su ancho de banda, estaciones de AM o cercanas muy intensas y con ello se evitaran los problemas de modulación cruzada
Calculo del condensador…
Conociendo ya la inductancia del cuadro es muy fácil calcular la capacidad mínima necesaria para la frecuencia más baja de operación, de la siguiente manera:
C = 1.000.000 / 4 p2 f2 L, estando C en pF, f en MHz, L en mHy
Así para el cuadro de 2m de diámetro en 40 m será:
C = 1.000.000 / 4 p2 7 MHz2 5.9 mHy = 87,6 pF
Un condensador de 100 pf más la capacidad distribuida, aseguran la sintonía del cuadro...
Este condensador de sintonía requiere una cuidadosa consideración ya que estará sujeto a tensiones de RF muy elevadas aun con potencias pequeñas.
El condensador preferido (dentro de los comunes) será uno de los denominados "mariposa", conectando los extremos del cuadro a cada uno de los estatores.
En caso de emplear un condensador de estator dividido, también habrá que emplearlo conectando al loop los estatores con lo que su capacidad útil se reduce a la mitad.
Lo que no debe hacerse es emplear el capacitor con el juego de placas fijas a un extremo del loop y el de las móviles al otro, porque el sistema de rozamiento que efectúa la conexión con las placas móviles introducirá pérdidas inaceptables
También puede emplearse satisfactoriamente un trombón simple o doble. En cualquier caso el uso de un condensador al vacío permitirá manejar elevadas potencias con mucha comodidad.
Tensión del capacitor
La tensión que aparece sobre el capacitor en resonancia se calcula mediante:
_______
V = 0,000001 V P XL Q
donde P esta en Watts y XL
en Ohms
recordando que
XL = 2 p f L = 2 x 3,14 x 7 MHz x 5,9 mHy = 260 W entonces
____________________
V = V 100 W x 260 W x 2.300 = 7.733 Vrms
Así vemos que aun para potencias moderadas la tensión en bornes del condensador es muy grande y PELIGROSA.
El aislamiento de un condensador de placas planas esta en unos 1.500 Vrms/mm, así que la separación necesaria será de 7.733 / 1.500 = 5,2 mm o más. Los bordes de las placas deben ser redondeados (sin filo) y las mismas han de ser lisas para evitar puntos que podrían dar inicio a una descarga por el efecto corona.
Extraido de un articulo de LU6ETJ basado en Practical Experiments with Magnetic Loop antennas
. David Reid PA3HBB / G0BZF